产品中心
柳泰克雄狮系列L7-75kW PM永磁变频压缩机功率:7-75kW气……
LG系列SKY螺杆主机SKY转子型线,效率高,重型设计,SKY……
LG系列SKY*螺杆主机*转子型线,**率,重型设计,SKY轴承……
鼓风再生吸附式干燥机产品简介鼓风热吸附式干燥机属于加……
储气罐的功能
储气罐在现场应用中主要有以下功能:缓冲、降温、除水和储能。

储气罐是空压机的重要配套设备,是用来将压缩后的气体进行储存的装置,同时降低压缩空气的温度,保持供气和用气的平衡。由于内部空气具有一定的压力,所以储气罐的*是一个很重要的问题。厂家通常会根据用途的不同使用不同的设计和生产工艺。储气罐的分类基本也是按照所选用的材质和储气罐所能承受的压力为标准进行划分的。选择与空压机配套的储气罐时,要测量好空压机的容量以及使用工况的数据,如果是具有腐蚀性或其他特性的气体,要选择抗腐蚀性良好的储气罐,同时根据高压、低压进行选择。
随着各行业的不断发展,越来越多的企业使用到储气罐,尤其是在矿山、化工、制药等行业需求不断增加。除空压机储气罐外,天然气储气罐,沼气储气罐等也发展迅速,尤其是近几年空压机行业不断发展,也推动了储气罐的发展。
储气罐安装在空压机之后,是空压机的重要配套产品。
储存压缩空气,减少压缩机排气不连续产生的压力脉动,实现供气和用气的平衡。
降低压缩空气的温度,减少过虑器和干燥剂的负荷。
收集和排出冷凝水,起到初步过滤的作用。
如果客户对油分含量的要求相当高,则建议配两支后过滤器(精密过滤器+活性炭过滤器);某些特殊行业(如食品、医药、电子等),甚至还需要配置吸附式干燥器及*过滤器。(一般配置在生产现场)后处理设备的建议配置:压缩机、前置储气罐、前置过滤器、冷干机、后置过滤器、后置储气罐。
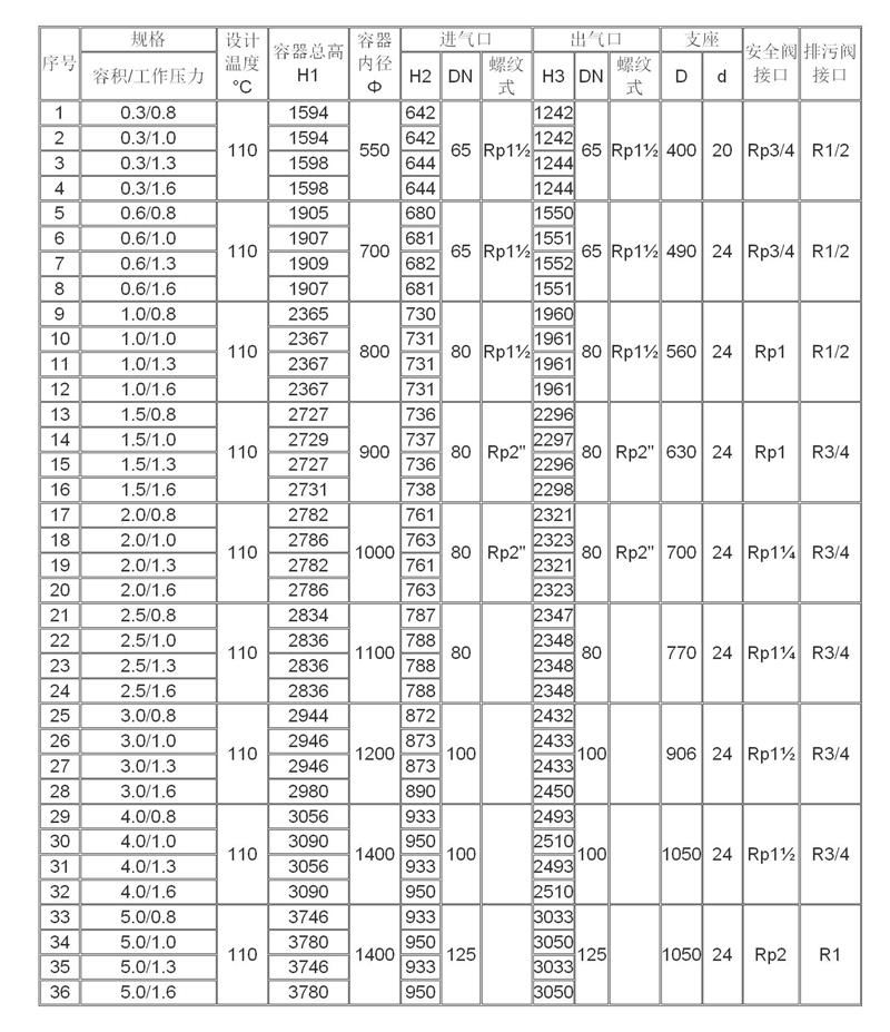
储气罐技术参数(部分)

Related information
我们使用空压机的过程中,对于空压机油要定期该换,那么如何正确更换呢,接下……
夏天持续高温天,不仅人招架不住,就连空压机也容易出现故障影响生产进度。想……
油过滤器阻塞对机器的影响1.转子出口温度上升;2.机油寿命减少。(1)正常的油……